个股期权中的买权价格对很小的波动率的变化的反映被称为Vega,计算如下:

在上例中,Vega为$20.25,这意味着如果波动率变化0.01,买权价格将变化.$0.20(即$ 20.25 x 0.01)。如果波动率升至0.30,若再变化0.01,买权价格变化为$0.19。而如果波动率从0.11升至0.40,由Vega值计算出的买权价格变化幅度为$2.23(即520.25x0.11),而实际的买权价格则由$5.803升到$8.015,增幅为$2.21,可见Vega预测是较有效的。
不论期权的价值是实值还是虚值的,波动率变化是大是小,期权对于波动率的变化是很敏感的,而布莱克一斯科尔斯模型则默认期权有效期内波动率不变,在更为复杂的数理模型中考虑了这一因素。
到期时间
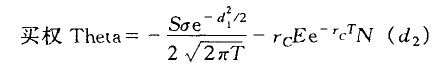
由于到期时间的临近,期权的时间价值下降的价格下降。时间价值的消耗用Theta表示:

Theta值只有在时间变化幅度很小时才是有效的。
对于多个期权的组合,Delta, Gamma, Rho, Vega, Theta是其中每个期权相应指标值的加权平均,权重则为各期权价值在组合总值中的比率。当然,组合中也可以含有股票,只是股票的筹码分布指标和这些指标值除了Delta为1以外,其余的都为零。
上一篇:影响期权价格的执行价格和无
下一篇:内含波动率下期权市场价格如
经营性网站备案信息
中国互联网违法和不良信息举报中心
本站带宽由
河南网络
网络 110
服务中心:郑州市金水区农业路经三路
邮编:450002 网址:www.yingjia360.com
销售热线:0371-65350319
技术支持:13333833889