均线在超盘过程中有什么样的缺陷?我们就以10日均线为例进行相关介绍。得到的数据就是最近10个交易日的平均值,也就是所每个交易日占得比重是一样的,但是在实际走势上,K线的主力动向、走势情况都是在随时随地发生变化的,不可能是一层不变,因此越是靠近的交易日K线的价格对于判断后市行情越是有效。
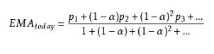
例如最近2个交易日的价格变动更能反映强狂,更是有助于判断第11日的K线走势,而8天前的K线指示往往不那么准确。因此,每个交易日比重都一样,明显是不利于整体判断的。那究竟EXPMA就出现了,公式如下。从公式中,可以看出,越是靠近目前走势的那天的交易日,权重越大,一定程度上能够弥补了均线的缺点。

接下来我们就来了看山鼎设计的两张走势图,该股的第一张图指标为EMA,参数为10(两周)、22(一个月)、45(两个月),第二张图指标为MA,参数为10、22、45。


可以看出,第一张图的的指标更加贴合K线走势,更能及时反应K线涨跌,第二张图的指标钝化比较严重,遇到K线剧烈波动时,反应较慢。从这个实战图形,我们可以看到该方法的技术要点总结如下:
1、 均线指标反映有一定迟缓性,EMA因提升近期走势权重,可改善情况;
2、 当K线剧烈波动时,率先参考EMA走势。
以上就是能弥补均线缺陷的EXPMA指标的介绍,相信大家对此已经掌握了,如若您想要学习更多相关知识点,敬请关注本栏目的更新,最后预祝大家投资愉快。
上一篇:一种简单又有效的均线指标操
下一篇:900日均线在实战中的运用解析
经营性网站备案信息
中国互联网违法和不良信息举报中心
本站带宽由
河南网络
网络 110
服务中心:郑州市金水区农业路经三路
邮编:450002 网址:www.yingjia360.com
销售热线:0371-65350319
技术支持:13333833889