金融术语有很多,卡方检验就是其中一种,什么是卡方检验,它有什么作用,这是很多对此不熟悉的人会有的疑问。今天赢家财富网小编就和大家详细介绍下该知识点,希望对大家学习该金融术语有所帮助。
第一、概念
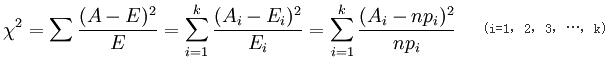
什么是卡方检验。卡方检验是一种非参数检验的以χ2分布为基础的假设检验方法,其无效假设一般用H0表示。主要思想是比较理论频数、实际频数的契合度,常见于分类资料的统计推断。卡方值表示观察值和理论值的偏离程度,其计算公式如下所示

其中,A代表观察频数,E代表期望频数,A、E之间的差值就是残差。
它分为三种类型,即四格表资料卡方检验、行*列表资料卡方检验、列联表资料卡方检验。

第二、应用条件
1.四格表卡方检验应用条件
A.随即样本数据;
B.理论频数不要太小
2.行*列表卡方检验应用条件
A.行、列表中,理论数比5小的格子不能超过1/5;
B.表中不能出现小于5的理论数。
第三、用途
卡方检验最常见用于考察无序分类变量个水平在两组(多组)间 是否分布一致,但除此之外,还有以下用途:
1.检验某分类变量各类出现概率是否和指定概率相同;
2.检验某两个分类变量是不是相互独立;
3.检验某连续变量分布和理论分布是不是一致;
4.检验两种方法结果是不是一样;
5.检验控制某种因素作用后,另外两个分类变量是否相互独立;

综上所述,就是和大家介绍的有关卡方检验的知识点,希望大家通过阅读本篇文章能够对此知识点有基本理解。如果大家还想学习更多金融术语,请继续关注阅读金融常识栏目。
上一篇:金融超市如何运作 金融超市
下一篇:2017投资者如何打理资产 20
经营性网站备案信息
中国互联网违法和不良信息举报中心
本站带宽由
河南网络
网络 110
服务中心:郑州市金水区农业路经三路
邮编:450002 网址:www.yingjia360.com
销售热线:0371-65350319
技术支持:13333833889