
什么是期权价格?期权价格计算方法是什么?期权的价格是在交易所内通过公开叫价而决定的,目前被市场所接受的定价模型为布莱克-休斯(Black-Scholes)期权定价模型。该模型其实是一种数学模型。该模型想要成功,需要以下的基本假设。
1.金融资产价格服从对数正态分布,而金融资产收益率服从正态分布;
2.在期权有效期内,无风险利率和金融资产收益变量是恒定的;
3.市场无摩擦,即不存在税收和交易成本;
4.金融资产在期权有效期内无红利及其它所得;
5.该期权是欧式期权,即在期权到期前不可执行;
6.市场上无套利机会;
7.任何时候都能以无风险利率借入和借出任意数量的现金;
8.任何时候都能够买入和卖空任意数量的标的资产。
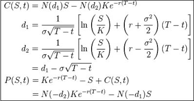
模型

Ln:自然对数;
C:认购期权价格;
P:认沽期权价格;
K:期权行权价格;
S:标的资产价格;
T-t:期权距离到期时间;
r:连续复利计无风险利率;
σ:标的资产收益率的年化标准差;
N():正态分布变量的累积概率分布函数。
在实际运用过程中,小散仅需将公式的五种定价因素的数据输入电脑软件,便可以直接取得相应期权的理论价格www.yingjia360.com。这五个定价变量为:
(1)期权的到期时间;
(2)标的物的价格;
(3)期权的执行价格;
(4)持有成本(利率、股票股息等);
(5)标的物的价格波动率。
总结为:期权价格=内在价值+时间价值

以上就是有关期权价格的计算方式的介绍,相信大家对于期权已经有了一个基本的了解,如果想要学习更多知识,请关注基本分析栏目!最后祝大家投资顺利!
推荐阅读:盘口语言实战技巧
上一篇:带你全面了解个股期权交割方
下一篇:个股期权合约单位是什么 期
经营性网站备案信息
中国互联网违法和不良信息举报中心
本站带宽由
河南网络
网络 110
服务中心:郑州市金水区农业路经三路
邮编:450002 网址:www.yingjia360.com
销售热线:0371-65350319
技术支持:13333833889